Correlación entre índices de bioimpedancia eléctrica y score Apache II en pacientes con shock séptico.

 

Correlation between indexes of electrical bioimpedance and Apache II score in patients with septic shock.

 

 

Manuel Díaz-De Los Santos 1, Javier Cieza2, Raúl Valenzuela 3

 

 

1Médico Internista Asistente, Hospital Nacional Cayetano Heredia. Lima, Perú.

2Nefrólogo Asistente del Hospital Nacional Cayetano Heredia. Profesor Principal, Facultad de Medicina Alberto Hurtado, Universidad Peruana Cayetano Heredia. Lima. Perú.

3Nefrólogo Asistente, Hospital Nacional Cayetano Heredia. Lima. Perú.

 

 

 

RESUMEN

Objetivo: Determinar la correlación entre diversos índices de bioimpedancia eléctrica (IBE) y el score APACHE II (sAII) en pacientes con shock séptico. Material y métodos: Se incluyeron 30 pacientes >14 años con shock séptico de la unidad de cuidados intensivos (UCI) adultos del Hospital Nacional Cayetano Heredia-Perú a quienes se calculó el (sAII) y se midió el ángulo de fase, índice de impedancia y relación LIC/LEC, correlacionándolos posteriormente mediante Pearson y regresión lineal múltiple. Resultados: El 60% fueron varones, la edad promedio fue 60 ± 20,92 años, talla 1,61 ± 0,06m, peso 65,46 ± 8,7 Kg. y tiempo de ingreso a UCI 8,4 ± 5,99 horas. El 86,6% requirió ventilación mecánica, el foco infeccioso más frecuente fue respiratorio (63,3%). El promedio del sAII fue 18,83 ± 9,23, la permanencia en UCI 8,4 ± 5,99 días y la letalidad al mes 50%. Solamente se encontró correlación negativa con significancia estadística (r = -0,46; p = 0,01) entre el ángulo de fase (AF) y el (sAII). Ni el índice de impedancia ni la relación LIC/LEC tuvieron correlación significativa. El mejor predictor de mortalidad fue el AF: todos los que fallecieron tuvieron un AF<6grados (promedio 3,67 ± 0,63), p<0,05. Conclusiones: Únicamente el AF se correlacionó con el score (sAII) y fue el índice que mejor predijo mortalidad en pacientes con shock séptico, siendo superior al score APACHE II (sAII). (Rev Med Hered 2010;21:111-117).

 

PALABRAS CLAVE: Score APACHE II, ángulo de fase, índice de impedancia, LIC/LEC, shock séptico.

 

 

SUMMARY

Objective: Objective: To determine the correlation between various indexes of bioelectrical impedance (IBE) and APACHE II score (sAII) in patients with
septic shock. Material and methods: We included 30 patients > 14 years old with septic shock admitted to the Adults intensive care unit (ICU) at the
Hospital Nacional Cayetano Heredia – Peru. The (sAII) was calculated and various IBE parameters were measured (phase angle, impedance index and
relationship ICF/ECF). Correlations were calculated by multiple linear regression and Pearson. Results: 60% were male, mean age was 60 ± 20.92
years, height 161 ± 6 cm, weight 65.46 ± 8.7 kg and time of admission ICU was 8.4 ± 5.99 hours. 86.6% required mechanical ventilation, the most common
infection was respiratory in origin (63.3%). The mean sAII was 18.8 ± 9.2, ICU stay was 8.4 ± 5.99 days and mortality was 50% per month. We only found
a statistically significant negative correlation (r = - 0.46, p = 0.01) between the phase angle (FA) and (sAII). Neither the impedance index nor the
relationship ICF/ECF had significant correlation. The best predictor of mortality was FA: those who died had an FA <6 degrees (average 3.67 ± 0.63),
p <0.05. Conclusions: Only FA correlated with the score (sAII) and was the index that best predicted mortality in patients with septic shock, exceeding
the APACHE II score (sAII). (Rev Med Hered 2010; 21:111-117).

KEY WORDS: APACHE II score, phase angle, impedance index, ICF /ECF, septic shock.

 

INTRODUCCIÓN

El shock séptico es la complicación más severa de la sepsis y representa el 10% de las admisiones a la unidad de cuidados críticos (1-3). La Conferencia Internacional de Definiciones de Sepsis 2001, define al shock séptico como la sepsis asociado al estado de falla de circulación aguda caracterizada por hipotensión arterial persistente inexplicado por otras causas (4).

En la patogenia de esta entidad hay una secuencia de eventos intracelulares y extracelulares que modifican hasta en 30% la distribución de los fluidos corporales y al contenido del agua corporal total (5,6); expresados en una sobrehidratación extracelular y deshidratación intracelular (3).

Dado que el periodo de ventana para la intervención es corto, el tratamiento debe instalarse precozmente para controlar la fuente de infección y restaurar el estado hemodinámico (7,8).

La mortalidad del shock séptico en las UCI fluctúa entre el 20 y 70% (11-12), dependiendo de factores como la edad, género, origen étnico, comorbilidades o condición subyacente desfavorable y si el agente infeccioso es nosocomial o de la comunidad (1,11,13). Para evaluar las complicaciones o el pronóstico de los pacientes críticamente enfermos, existen diversas escalas como el score APACHE II que es una de las que mejor predice la mortalidad en adultos (12-14).

Dado que la composición y distribución corporal de fluidos están asociadas con la morbilidad y mortalidad en el ser humano (4), su conocimiento es de gran importancia desde el punto de vista nutricional y en la evolución clínica. La bioimpedancia (BIE) parece ser una herramienta útil para estimar la composición corporal y para entender la gravedad de estos enfermos con la ventaja de ser un método no invasivo, repetitivo, preciso y no dependiente del observador (6,15).

Los equipos de multifrecuencia como el BodyStat QuadScan 4000 pueden medir a baja frecuencia (5 kHz) el compartimiento extracelular y a 200 kHz el agua del líquido intracelular, extracelular y corporal total (16,17). Eso permite medir los cambios en la masa celular y los resultados, pueden utilizarse tanto en sujetos sanos como en pacientes críticamente enfermos para generar pautas sobre el manejo nutricional y de los fluidos (17).

El ángulo de fase, el índice de impedancia y el índice LIC/LEC sólo o asociado con el ángulo de fase se han usado en diferentes entidades clínicas (18,19); sobre todo el ángulo de fase ha demostrado ser útil para el balance de fluidos en pacientes críticamente enfermos (20,21).

Se define al ángulo de fase como el arco tangente de la relación entre la reactancia y la resistencia, tomado como normal >6 (mayor tiempo de sobrevivencia) y <6 (menor tiempo de sobrevivencia) (19).

El objetivo del estudio fue explorar si existe correlación entre los índices de bioimpedancia eléctrica (IBE) ángulo de fase (AF), índice de impedancia y relación LIC/LEC y el score APACHE II en pacientes con shock séptico en la unidad de cuidados intensivos (UCI) de adultos, así como determinar cuál de ellos sirve como predictor clínico.

 

MATERIAL Y MÉTODOS

Estudio longitudinal analítico de correlación entre el score APACHE II y los BIE (índice de impedância, relación LIC/LEC y ângulo de fase), con seguimiento de 30 pacientes que ingresaron a la UCI de adultos del Hospital Nacional Cayetano Heredia (HNCH) entre octubre 2007 y marzo 2008. Los criterios de inclusión fueron: edad mayor de 14 años, diagnóstico de shock séptico, ingreso a la UCI dentro de las primeras 24 horas de la admisión hospitalaria y aceptación de participar en el estudio mediante consentimiento informado del paciente o el familiar directo más cercano. Fueron excluidas las gestantes, los pacientes portadores de marcapaso o dispositivo electrónico implantado, patologia quirúrgica, VIH o existencia de enfermedad terminal.

En una ficha de recolección de datos se consignó edad, género, fecha y hora de ingreso a emergencia; fecha y hora de ingreso a la UCI; comorbilidades; foco infeccioso; tipo y número de vasopresores; soporte ventilatorio; días de permanencia en la UCI y situación final al mes de iniciada la observación (vivo o muerto y cuando ocurrió el deceso si lo hubiera).

El score APACHE II se determinó durante las primeras 24 horas de ingreso a la UCI y se midió el puntaje fisiológico: temperatura, presión arterial media, frecuencia cardíaca, frecuencia respiratoria, gradiente alvéolo-arterial si FiO2 era mayor 0,5 o PaO2 si FiO2 era menor 0,5, pH, creatinina, sódio sérico, potasio, hematocrito, leucocitos, puntaje Glasgow; la edad, y la insuficiencia crónica de órgano o el estado inmunocomprometido del paciente.

Se realizó BIE en las primeras 24 horas de la admisión, utilizando el equipo BodyStat QuadScan 4000, con margen de error de ±1% y se determinó el ángulo de fase, la relación LIC/LEC y el índice de impedancia. Se determinó el peso real del paciente mediante una balanza digital adaptada para pesar a los pacientes en cama, con un margen de error de ±100g, la talla y el perímetro abdominal. Las mediciones fueron hechas a 5, 50, 100 y 200 kHz, con una corriente alterna de 550 miliamperios hora. El paciente debía estar en decúbito supino sobre una superficie no conductora, con los brazos separados del tórax y piernas separadas entre ellas.

El análisis estadístico se realizó con el programa SPSS versión 14,0. Se usó estadística descriptiva, medidas de tendencia central y de dispersión para las variables cuantitativas y distribución de frecuencias para las cualitativas. Para la estadística analítica se realizó correlación de Pearson y regresión lineal múltiple. Se consideró resultado estadísticamente significativo un p<0,05.

 

RESULTADOS

Hubo 18 varones (60%) cuya edad promedio fue 60 años (14-91 años) y la mediana 62 años. La talla promedio fue 1,61m., el peso 65,46 kg, y el IMC 25,23 (Tabla 1 y Tabla 2).

 

 

 

El tiempo promedio de ingreso a la UCI fue de 8,4 ± 6,0 horas y el foco infeccioso más frecuente fue respiratorio en 63,3% de pacientes. Recibieron algún tipo de soporte ventilatorio 26 pacientes (86,6%); la ventilación mecánica fue invasiva en 70%, no invasiva 3,3% y mixta en 13,3%. La permanencia promedio en la UCI fue de 8,4 ± 6,0 días y la tasa de mortalidad al mes fue 50% (Tabla 1). El score APACHE II promedio fue 18,8 ± 9,2. El 23,3% tuvo puntajes de APACHE II entre 15 y 19, y 20% entre 20 y 24.

Los resultados de la bioimpedancia se muestran en la Tabla 2. En el análisis de correlación utilizando el modelo de regresión lineal múltiple se encontró que de los tres índices de bioimpedancia estudiados, sólo alcanzó diferencia significativa el ángulo de fase (p = 0,001) (Tabla 3).

 

La correlación de Pearson entre el ángulo de fase y el score APACHE II, se da de forma negativa, siendo estadísticamente significativo (r = -0,46 p<0,05) (Gráfico 1).

 

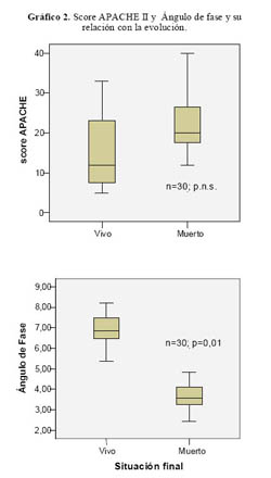
Al estudiar asociación entre la mortalidad y el ángulo de fase o score APACHE II, solamente hubo significancia estadística con el AF p=0,01. El score APACHE no tuvo significancia estadística p= 0,078 (Gráfico 2).

 

 

DISCUSIÓN

El foco infeccioso más frecuente de los pacientes fue el respiratorio (63,3%) tal como se describe en la literatura (1,22,23).

En nuestro estudio la tasa bruta de letalidad al mes fue 50%, similar a otros estudios (4,23), aunque la diferencia puede depender de factores como edad, género, origen étnico, comorbilidad, presencia de injuria pulmonar aguda o síndrome de distrés respiratorio agudo, falla renal, o si la infección fue nosocomial o poli microbiana (5).

Nuestros resultados mostraron una sobrehidratación extracelular promedio del 5% y una deshidratación intracelular del 10% (20). Estos valores pueden ser mayores como lo describe Finn P, (15 a 20%) (23). La expansión del LEC debido a un mayor periodo de secuestro extravascular, suele ser más prolongado en adultos mayores con sepsis y contribuye a los peores resultados en este tipo de pacientes. Los adultos mayores responden menos favorablemente a la carga de volumen que la gente joven (24), esta prolongada sobrecarga de volumen extracelular contribuye negativamente en el pronóstico tal como lo hemos observado (más del 50 % de los pacientes que fallecieron fueron adultos mayores). La gente joven moviliza el exceso de LEC dentro de la primera semana de iniciada la sepsis, la población adulta mayor lo hace en dos o más semanas, observándose en algunos estudios que después de la tercera semana puede haber un exceso de LEC de hasta cerca de cinco litros (22).

Las cambios del agua corporal en estos pacientes se pueden medir en forma no invasiva, con precisión, rapidez y objetividad utilizando la bioimpedancia eléctrica. Idealmente debe realizarse en pacientes que no hubieran estado mucho tiempo en reposo, para no generar error de interpretación dependiente del líquido extracelular, que es influenciado por la gravedad (25,26), por tal razón en nuestro trabajo hemos medido la BIE en las primeras 24 horas.

De los índices de bioimpedancia estudiados, se encontró que el más relevante fue el ángulo de fase. Este índice es interpretado como un indicador de integridad de membrana y distribución de agua entre el intracelular y extracelular. Los pacientes con shock séptico al tener un incremento de la permeabilidad capilar, presentan cambios estructurales y funcionales de la matriz intersticial y en la membrana celular que producen un menor ángulo de fase (27). Este ángulo detecta cambios en las propiedades eléctricas de los tejidos y se ha descrito como un indicador de pronóstico en pacientes con VIH, cirrosis hepática, EPOC, cáncer de pulmón , pacientes que reciben diálisis y de manera aislada, en pacientes críticos (24,26,28,29). AF bajo, sugieren muerte celular o disminución de la integridad celular, mientras que ángulos de fase altos sugieren membranas celulares intactas (28). En estos estudios pacientes con ángulo de fase menor igual 4,5 tuvieron menor supervivencia que aquellos con ángulo de fase mayor de 4,5 (30). Nuestro estudio demostró que todos los pacientes que tuvieron ángulo de fase menor a 6 grados fallecieron dentro del primer mes, mientras que solamente el 20% con ángulo de fase mayor de 6 grados fallecieron.

No hemos encontrado otros estudios específicos que hayan empleado este índice como marcador pronóstico en este tipo de pacientes, aunque sí los hay para pacientes con otras patologías como cirrosis hepática (ángulo de fase menor o igual 5,4 se asoció con supervivencia menor) (26). Similares resultados fueron obtenidos en pacientes en diálisis peritoneal para un ángulo de fase discriminante de 6 grados (30). EL AF se ha asociado a un incremento del riesgo de morbilidad después de los 80 años (28).

Aceptamos como limitación del trabajo el retraso promedio de 2 horas entre la toma del score APACHE II y la realización de la bioimpedancia, pudiendo haberse dado acontecimientos que influyeran en el desenlace final.

Concluimos que de los índices de bioimpedancia estudiados, el ángulo de fase fue el único que se correlacionó con el score APACHE II en forma negativa, y fue el de mejor predicción de mortalidad en pacientes con shock séptico, siendo superior al score APACHE II. Por ello sugerimos incluir este índice de bioimpedancia en las unidades de cuidados intensivos como una herramienta importante para este tipo de pacientes. Es conveniente observar la extensión del concepto en otras patologías aún no estudiadas.

 

 

REFERENCIAS BIBLIOGRÁFICAS

1. Martin G, Mannino D, Eaton S, Moss M. The epidemiology of sepsis in the United States from 1979 through 2000. N Engl J Med 2003; 348 1546-54.

2. Djillali A, Bellissant E, Cavaillon J. Septic Shock. Lancet 2005; 365: 63-78

3. Mattar JA. Application of total body bioimpedance to the critically ill patient. Brazilian Group for Bioimpedance Study. New Horiz 1996; 4(4): 493–503.

4. Levy MM, Fink MP, Marshall JC, et al. 2001 SCCM/ESICM/ACCP/ATS/SIS International Sepsis Definitions Conference. Crit Care Med. 2003 ; 31(4):1250-6.

5. Annane D, Aegerter P, Jars-Guincestre M, Guidet B. Current epidemiology of septic shock: the CUB-Rea Network. Am J Respir Crit Care Med 2003; 168(2): 165–72.

6. Kyle G, Piccoli A, Richard C. Body composition measurements: interpretation finally mady easy for clinically use. Curr Opin Nutr Metab Care 2003; 6:387-93.

7. Hollenberg S, Ahrens T, Annane D, et al. Practice parameters for hemodynamic support of sepsis in adults patients. 2004 update. Crit Care Med 2004; 32:1928-48.

8. Garnacho J, García J, Barrero A, Jimenez F, Perez C, Ortiz C. Impact of adequate empirical antibiotic therapy on the outcome of patients admitted to the intensive care unit with sepsis. Crit Care Med 2003: 31: 2742-51.

9. Annane D, Sebille B, Charpentier C, et al. Effect of treatment with low doses of hydrocortisone and fludrocortisone on mortality in patients with septic shock. Intensive Care Med 2003; 29: 646-51.

10. Albertini C, Brun-Buisson C, Burchardi D, et al. Epidemiology of sepsis and infection in ICU patients from international multicentre cohort study. Intensive Care Med 2002; 1687: 165-72.

11. Padkin A, Goldfrad C, Brady AR, Young D, Black N, Rowan K. Epidemiology of severe sepsis occurring in the first 24 hrs in intensive care units in England, Wales, and Northern Ireland. Crit Care Med 2003; 31(9):2332-8.

12. Laupland KB, Gregson DB, Zygun DA, Doig CJ, Mortis G, Church DL. Severe bloodstream infections: a population-based assessment. Crit Care Med 2004; 32(4): 992-7.

13. Rosemberg L. Recent innovations in intensive care unit risk-prediction models. Current Opinion in Critical Care 2002; 8: 321-330.

14. Bercault N, Boulain T, Kuteifan K, Wolf M, Runge I, Fleury JC. Obesity-related excess mortality rate in an adult intensive care unit: A risk-adjusted matched cohort study. Crit Care Med 2004; 32(4): 998-1003.

15. Kyle U, Genton L, Karsegard L, Slosman D, Pichard C. Single prediction equation for bioelectrical impedance analysis in adults aged 20-94 years. Nutrition 2001; 17:248-53.

16. Barbosa e Silva MCG, Assunção MCF, Paiva SI, Barros AJD Impedance Ratio: new multi-frecuency electrical Bio-impedance functional assessment parameter. Montevideo, Uruguay: FELIANPE Nutrition Congress;November 2005. p. 7

17. Mulholland M, Lillemoe K, Doherty G, et al. Greenfield’s Surgery Scientific Principles and Practice. 4th edition. Philadelphia, USA: Lippincott Williams & Wilkins; 2006.

18. Assuncao M, Paiva S, De Barros A. Comparation of the estimated phase angle for different bioimpedance devices. Montevideo, Uruguay: FELIANPE Nutrition Congress;November 2005. p. 12.

19. Cigarrán S, Barril G, Bernis C, Cigureda A, Herraiz I, Selgas R. Evaluación del estado nutricional de los pacientes renales y ajuste del peso seco en CAPD y HD: papel de la bioimpedancia. Electrón J Biomedic 2004; 1: 16-23.

20. Selberg O, Selberg D. Norms and correlates of bioimpedance phase angle in healthy human subjects, hospitalized patients, and patients with liver cirrhosis Eur J Appl Physiol 2002; 86(6): 509-16.

21. Schwenk A, Schlottmann S, Kremer G, Drehl N, Salzberger B. Fever and sepsis during neutropenia are associated with expansion of extracellular and loss of intracellular water. Clinical Nutrition 2000; 19(1): 35-41.

22. Cheng A T, Plank L D, Hill G L. Prolonged overexpansion of extracellular water in elderly patients with sepsis. Arch Surg 1998; 133: 745–751.

23. Finn P J, Plank L D, Clark M A, Connolly A B, Hill G L. Progressive cellular dehydration and proteolysis in critically ill patients. Lancet 1996; 347: 654–656.

24. Kyle U, Bosaeus I, De Lorenzo A, et al. Bioelectrical impedance analysis-part I: principles and methods Nutrition 2004; 23:1226-43.

25. Frankenfield D, Cooney R, Stanley S, Rowe W. Bioelectrical impedance plethysmographic analysis of body composition in critically injured and healthy subjects. Am J Clinical Nutrition 2001; 74: 474-78.

26. Gupta D, Lammersfeld C, Burrows J, et al. Bioelectrical impedance phase angle in clinical practice: implications for prognosis in advanced colorectal cancer. Am J Clinical Nutrition 2004; 80: 1634-38.

27. Schewent A, Betsenbertz A, Romer K, et al. Phase angle from bioelectrical impedance analysis remains an independent predictive marker in HIV-infected patients in the era highly active antiretroviral treatment. Am J Clin Nutr 2000; 72: 496-501.

28. Barboza-Silva M, Barros A, Wang J, Heymsfield S, Pierson R. Bioelectrical impedance analysis: population reference values for phase angle by age and sex. Am J Clin Nutr 2005;82:49 –52.

29. Dehghan M, Merchat A. Is bioelectrical impedance accurate for use in large epidemiology studies?. Nutrition Journal 2008; 7:26.

30. GIBI Brazilian Group for Bioimpedance Study. Total body bioelectrical impedance measurement as a progressive outcome prediction and therapeutic index in the comparison between septic and non septic patients. A multicenter Brazilian study. R Metab Nutr 1995; 2:159 –70.

 

Correspondencia:

Manuel Alberto Díaz De Los Santos

Calle Costa Rica 268. Jesús María

Lima, Perú

Correo electrónico: manuelddls@gmail.com